Facebook E-mail
جستجو در ماده
جستجو در مقررات
formats

مواد ۳ و ۶ قانون دریافت جرائم نقدی از کارفرمایان کارگاه‌های مشمول قانون تأمین اجتماعی که ظرف مهلت مقرر نسبت به ارسال‌صورت مزد و حقوق بیمه‌شدگان و حق بیمه مربوط اقدام نمی‌نمایند ۱۳۷۳

ماده 3 – کارفرمایانی که قبل از صدور اجراییه اقدام به پرداخت کامل بدهی خود نمایند از 30% جرائم مربوط معاف خواهند بود. ‌
تبصره – در صورت تقسیط بدهی چنانچه کارفرما هر یک از اقساط مقرر را رأس موعد پرداخت نکند بقیه اقساط تبدیل به حال شده و جرائم نسبت‌به کل حق بیمه قبل از تقسیط با رعایت تبصره 3 ماده 1 این قانون به طور کامل دریافت خواهد شد. ‌
ماده 6 – جرائم موضوع این قانون طبق ماده 50 قانون تأمین اجتماعی از طریق صدور اجرائیه وصول خواهد شد.

شماره:90836 /ت48793هـ


formats

ماده ۱ قانون دریافت جرائم نقدی از کارفرمایان کارگاه‌های مشمول قانون تأمین اجتماعی که ظرف مهلت مقرر نسبت به ارسال‌صورت مزد و حقوق بیمه‌شدگان و حق بیمه مربوط اقدام نمی‌نمایند ۱۳۷۳

ماده 1 – کارفرمایان کلیه کارگاه‌های مشمول قانون تأمین اجتماعی مصوب تیر ماه سال 1354 مکلفند صورت مزد و حقوق کلیه بیمه‌شدگان و حق‌بیمه و بیمه بیکاری مربوط به هر ماه را حداکثر تا پایان آخرین روز ماه بعد به سازمان تأمین اجتماعی ارسال و پرداخت نمایند. ‌
تبصره 1 – کارفرمایانی که از تنظیم و ارسال صورت مزد و حقوق بیمه‌شدگان به ترتیب مذکور در این قانون و آیین‌نامه موضوع ماده 39 قانون تأمین‌اجتماعی خودداری کنند و همچنین کارفرمایانی که در موعد مقرر در این قانون، صورت مزد یا حقوق بیمه‌شدگان را به سازمان تأمین اجتماعی ارسال‌ندارند یا به ترتیبی که با موافقت قبلی سازمان مزبور معین می‌شود در مورد ارسال صورت مزد یا حقوق عمل نکنند ملزم به پرداخت جریمه نقدی‌مقطوع به ترتیب زیر خواهند بود: ‌
الف – تا مبلغ 300000 ریال حق بیمه ماهانه معادل 5 درصد حق بیمه همان ماه.
ب – از مبلغ 300000 ریال تا مبلغ 1200000 ریال حق بیمه ماهانه معادل 10 درصد حق بیمه همان ماه.
ج – از مبلغ 1200000 ریال تا مبلغ 2500000 ریال حق بیمه ماهانه معادل 15 درصد حق بیمه همان ماه. ‌
د – از مبلغ 2500000 ریال به بالا معادل 20 درصد حق بیمه همان ماه. ‌
تبصره 2 – کارفرمایانی که در موعد مقرر در این قانون تمام یا قسمتی از حق بیمه و بیمه بیکاری مربوط به هر ماه را پرداخت ننمایند علاوه بر تأدیه‌اصل حق بیمه و بیمه بیکاری ملزم به پرداخت جریمه نقدی مقطوع به ترتیب زیر خواهند بود: ‌
الف – تا مبلغ 300000 ریال بدهی ماهانه معادل 7 درصد تمام یا کسر بدهی پرداخت نشده همان ماه.
ب – از مبلغ 300000 ریال تا مبلغ 1200000 ریال بدهی ماهانه معادل 12 درصد تمام یا کسری بدهی پرداخت نشده همان ماه.
ج – از مبلغ 1200000 ریال تا مبلغ 2500000 ریال بدهی ماهانه معادل 17 درصد تمام یا کسری بدهی پرداخت نشده همان ماه. ‌
د – از مبلغ 2500000 ریال به بالا بدهی ماهانه معادل 22 درصد تمام یا کسری بدهی پرداخت نشده همان ماه. ‌
تبصره 3 – جریمه نقدی موضوع تبصره 2 این ماده منحصراً برای یک سال می‌باشد و چنانچه کارفرمایان به تکالیف قانونی تعیین شده در این قانون‌عمل ننمایند جرایم نقدی از ابتدای سال‌های بعد، همه‌ساله معادل جریمه سال اول اضافه خواهد شد. ‌
formats

آیین نامه اجرایی تبصره ۵ الحاقی به ماده ۴ قانون تامین اجتماعی – مصوب ۱۳۸۷ (۱۳۸۸/۸/۲۶)

وزارت رفاه و تأمین اجتماعی
وزیران عضو کمیسیون امور اجتماعی و دولت الکترونیک در جلسه مورخ 1388/3/3 بنا به پیشنهاد شماره 13811/ص/87 مورخ 1387/8/12 وزارت رفاه و تأمین اجتماعی و به استناد تبصره (5) الحاقی به ماده (4) قانون تأمین اجتماعی، موضوع ماده (3) قانون اصلاح قانون تأمین اجتماعی و برخی قوانین مربوط به منظور تشویق کارفرمایان به تأدیه دیون معوقه سنواتی بابت حق بیمه وبیمه بیکاری کارکنان ـ مصوب1387ـ و با رعایت تصویب‌نامه شماره 164082/ت373هـ مورخ 1386/10/10 آیین‌نامه اجرایی تبصره یادشده را به شرح زیر تصویب نمودند:

آیین‌نامه اجرایی تبصره (5) الحاقی به ماده (4) قانون تأمین اجتماعی ـ مصوب1387

ماده1ـ

در این آیین‌نامه اصطلاحات زیر در معانی مشروح مربوط به کار می‌روند:

الف ـ قانون: قانون تأمین اجتماعی ـ مصوب1354ـ و اصلاحات بعدی آن.
ب ـ سازمان: سازمان تأمین اجتماعی.
پ ـ کارگاه: کارگاههای موضوع بند (3) ماده (2) قانون که دارای مجوز فعالیت از مراجع ذیصلاح می‌باشند.
ت ـ بیمه‌شده: اشخاص حقیقی و مدیران اشخاص حقوقی غیردولتی که حقوق دریافت نمی‌نمایند.

ماده2ـ
نرخ حق بیمه مطابق ماده (28) قانون می‌باشد.
ماده3ـ

مبنای کسر حق بیمه ماهانه بیمه‌شده، بین حداقل و حداکثر دستمزد قانونی زمان پرداخت خواهدبود و از ابتدای هر سال به میزان درصدی که طبق مقررات مصوب شورای عالی کار به سطوح دستمزد شاغلان اضافه می‌گردد، افزایش می‌یابد. در هر حال، مبنای پرداخت حق بیمه نباید از حداقل دستمزد کمتر و از حداکثر دستمزد مبنای کسر حق بیمه بیشتر باشد.

تبصره1ـ مبنای پرداخت حق بیمه ماهانه بیمه‌شده برای کسانی که بیش از ده سال سابقه پرداخت حق بیمه دارند عبارت از میانگین مبنای حق بیمه پرداختی در آخرین دوازده ماه قبل از تاریخ ثبت تقاضا است مشروط بر اینکه مبلغ مذکور کمتر از حداقل دستمزد مبنای پرداخت حق بیمه زمان پرداخت نباشد.

تبصره2ـ مبنای پرداخت حق بیمه ماهانه بیمه‌شده‌ای که کمتر از ده سال سابقه پرداخت حق بیمه دارد به انتخاب متقاضی بین حداقل و حداکثر دستمزد مبنای کسر حق بیمه خواهدبود.

تبصره3ـ دستمزد ماهیانه مبنای کسر حق بیمه بیمه‌شده در کارگاههای دارای دستمزد مقطوع موضوع ماده (35) قانون از بیشترین دستمزد مقطوع کارگاه کمتر نخواهدبود.

ماده4ـ
نحوه احتساب سوابق معوقه بیمه‌شده به شرح زیر تعیین می‌شود:

الف ـ کارفرمایان حقیقی و حقوقی غیردولتی که تا تاریخ تصویب این آیین‌نامه از طریق کارگاههای خود براساس ماده (28) قانون اقدام به ارسال لیست و پرداخت حق بیمه نموده و یا طبق قانون معافیت از پرداخت سهم بیمه کارفرمایانی که حداکثر پنج نفر کارگر دارند ـ مصوب 1361ـ نسبت به ارسال لیست و پرداخت حق بیمه خود به همراه حق بیمه کارکنان شاغل در کارگاه اقدام نموده‌اند، سوابق آنها به استناد لیستهای ارسالی و حق بیمه‌های پرداختی جزو سوابق بیمه‌ای کارفرما محسوب می‌شود.

تبصره ـ معادل سابقه پرداخت حق بیمه تا این تاریخ به حداکثر شرط سنی بیمه‌شده اضافه می‌گردد.

ب ـ بیمه‌شده‌ای که قبل از تاریخ تصویب این آیین‌نامه به استناد قانون اصلاح بند « ب» و تبصره (3) ماده (4) قانون تأمین اجتماعی ـ مصوب1365ـ نسبت به عقد قرارداد و بیمه‌پردازی خود اقدام نموده است، می‌تواند با پرداخت حق بیمه موضوع ماده (2) این آیین‌نامه (سهم بیمه‌شده و کارفرما) با ارسال لیست نسبت به ادامه بیمه‌پردازی خود اقدام نماید.

ج ـ کارفرمایانی که نسبت به بیمه نمودن خود اقدامی نکرده‌اند، با داشتن حداکثر پنجاه و پنج سال سن و رعایت ماده (90) قانون می‌توانند با پرداخت 27% حق بیمه موضوع ماده (3) این آیین‌نامه و ارسال لیست مشمول احکام مقرر در این آیین‌نامه قرار گرفته و از مزایای قانونی آن برخوردار شوند و سوابق قبلی بیمه‌شده به شرط سنی موضوع این بند اضافه می‌شود.

د ـ کارفرمایانی که تا تاریخ ابلاغ این آیین‌نامه اقدام به بیمه نمودن خود نزد سازمان نکرده‌اند، می‌توانند بعد از ابلاغ این آیین‌نامه پس از انعقاد قرارداد، مدارک و مستندات خود را جهت پذیرش سوابق گذشته به سازمان ارائه تا پس از احراز اشتغال توسط سازمان با پرداخت حق بیمه براساس دستمزد مبنای انعقاد قرارداد، سوابق معوقه به حساب آنها منظور گردد.

تبصره1ـ حق بیمه متعلقه در صورت تقاضای کارفرما و موافقت سازمان مطابق ماده (46) قانون حداکثر در سی و شش قسط قابل تقسیط است.
تبصره2ـ حق‌بیمه‌های معوقه‌ای که در اجرای این آیین‌نامه پرداخت‌می‌شود، به نسبت سالهای خدمت مربوط صرفاً در محاسبه میزان مستمری بازنشستگی، ازکارافتادگی کلی و فوت ملاک عمل قرار می‌گیرد.

هـ ـ احتساب سوابق آینده بیمه‌شده صرفاً برای ایامی خواهدبود که کارفرما نام خود را در لیست ارسالی درج و حق بیمه متعلقه را نیز پرداخت نماید.

ماده5 ـ

بیمه‌شده با ارسال لیست و پرداخت حق بیمه از حمایتهای بازنشستگی، ازکارافتادگی کلی، فوت و خدمات درمانی برخوردار می‌شود.

ماده6 ـ

بیمه‌شدگانی که طبق گواهی پزشک معتمد سازمان قبل از درخواست بیمه موضوع این آیین‌نامه به دلیل نقص عضو از کارافتاده تشخیص داده می‌شوند، نمی‌توانند از حمایت مربوط به کارافتادگی بهره‌مند شوند، مگر در مواردی که به دلیل حادثه یا بیماری دیگری ازکارافتاده گردند.

این تصویب‌نامه در تـاریخ 26/8/1388 به تأییـد مقام محترم ریاست جـمهوری رسیده است.

معاون اول رئیس جمهور ـ محمدرضا رحیمی

formats

آیین نامه نمایندگی‌های رسمی (مصوب ۱۳۸۴/۲/۱۱ شورای عالی رفاه و تأمین‌اجتماعی)

‌شورای عالی رفاه و تأمین اجتماعی در جلسه مورخ 1384/2/11، به استناد تبصره یک بند 4 ماده 12 قانون ساختار نظام جامع رفاه و تأمین اجتماعی پیشنهاد سازمان تأمین اجتماعی مبنی بر ایجاد مؤسسات کارگزاری رسمی در سازمان مذکور (موضوع مصوبات سیصد و سی و دومین و سیصد و سی و ششمین جلسات شورای عالی تأمین اجتماعی در رابطه با آیین نامه نحوه واگذاری و وظایف قابل واگذار سازمان) را به شرح زیر به تصویب رساند و مقرر گردانید انجام اصلاحات بعدی در رابطه با آیین نامه نحوه واگذاری و وظایف قابل واگذار به شورای عالی تأمین اجتماعی احاله گردد.
فصل اول –ضرورت ایجاد نمایندگی رسمی سازمان تامین اجتماعی

ماده 1‌ـ

ضرورت ایجاد نمایندگی رسمی سازمان تامین اجتماعی : با توجه به گسترش روزافزون وظائف سازمان تامین اجتماعی درمیان جامعه فعال کشور و نقش مهم این سازمان درفراهم نمودن رفاه حال و آینده بیمه شدگان و خانواده آنان و اثرات سود بخش آشنایی بیمه شدگان و کارفرمایان با مفاهیم و تکالیف، به اشخاص ذیصلاح وواجد شرایط اجازه داده می شود براساس ضوابط مندرج دراین آئین نامه نمایندگیهایی تحت عنوان «نمایندگی سازمان تامین اجتماعی» ایجاد و درچارچوب معیارها و موازین قانونی جهت اجرای تمام یا قسمتی ازوظایف واگذاری از سوی سازمان تامین‌اجتماعی با سازمان همکاری نمایند.

ماده 2-

هدف : هدف ازایجاد نمایندگیهای مذکور جلوگیری از گسترش واحدهای اجرائی سازمان، کم کردن هزینه های اداری و پرسنلی از یکسو و سوق دادن قسمت یا تمام اموراجرائی و کارشناسی قابل واگذاری به بخش خصوصی با توجه به سیاست عمومی دولت و همچنین تسریع و تسهیل امور بیمه‌شدگان و کارفرمایان می باشد.

ماده 3 –

تعریف نمایندگی رسمی : نمایندگی رسمی، تشکیلاتی است که برای پیگیری و حصول هدفها و برنامه هایی که در این آئین نامه تعریف شده است، تشکیل و تحت عنوان «نمایندگی رسمی» به دوصورت زیرتشکیل می‌گردد:

الف) اشخاص حقیقی واجد شرایط که شخصا نمایندگی را ایجاد می نمایند.

ب) اشخاص حقوقی واجد شرایط که با شرکت حداقل سه نفر نمایندگی را درچارچوب ضوابط به ثبت می‌رسانند.

فصل دوم – شرایط متقاضیان ایجاد نمایندگی رسمی سازمان تأمین اجتماعی

ماده‌ 4-

جواز ایجاد نمایندگی: صدور مجوز ایجاد نمایندگی به اشخاص واجد شرایط ذیل توسط هیأت موضوع ماده (5) این آیین نامه صورت می‌گیرد:

الف) تابعیت دولت جمهوری اسلامی.
ب) اعتقاد به اسلام یا یکی ازادیان رسمی کشور.
ج) دارا بودن حداقل 30 سال سن.
د) انجام خدمت وظیفه عمومی یا داشتن معافیت دائم.
هـ) دارا بودن توان جسمی و روحی لازم و عدم اشتهار به فساد اخلاقی و مالی.
و) دارا بودن تبحر در حد کارشناسی قابل قبول حداقل در یکی از امور اجرائی مرتبط با تامین اجتماعی از قبیل، امور بیمه‌گری، درمانی و اداری و مالی، حقوقی و … با توجه به سوابق خدمت و یا گذاراندن دوره‌های تخصصی.
ز) دارا بودن حداقل مدرک لیسانس دررشته های مرتبط با امر تامین اجتماعی.
ح ) عدم سابقه محکومیت کیفری.
ط) عدم اشتغال درموسسات دولتی و غیر دولتی.

تبصره 1- در رابطه با اشخاص حقوقی می بایست حداقل یکی از اعضاء دارای مدرک لیسانس و دو نفر از اعضای هیات مدیره سایر شرایط مندرج در این آئین نامه را دارا با شند.

تبصره 2- متقاضیان نمایندگی در صورتیکه بازنشسته سازمان بوده یا اینکه حداقل 5 سال در سازمان شاغل بوده باشند، در اولویت خواهند بود. اشخاصی که بازنشستگی و یا قطع رابطه استخدامی آنان با سازمان، ناشی از آرای هیاتهای تخلفات اداری و یا اخراج باشد نمی‌توانند متقاضی ایجاد نمایندگی گردند.

فصل سوم – مرجع تشخیص پذیرش و نظارت واگذاری امور سازمان

ماده‌ 5-

تصویب ضوابط مربوط به تشخیص صلاحیت متقاضیان نمایندگی رسمی، پذیرش آنان بعنوان کارگزاران سازمان، تعیین قلمرو و مسئولیت آنان درارائه خدمات و همچنین اعمال نظارت بر امور آنان در جریان فعالیت در راستای اهداف سازمان، به عهده هیات مدیره سازمان می باشد.

تبصره 1- هیات مدیره سازمان می تواند اختیارات خود دراین زمینه را به هیاتی که به عنوان هیات صدور جواز ایجاد نمایندگی مرکب از اعضای زیر درسازمان تشکیل میگردد محول نماید.

– معاون فنی و درآمد (رئیس هیات).

– معاون اموردرمان (نائب رئیس).

– معاون اداری و مالی (عضو).

– معاون حقوقی و امورمجلس (عضو).

– یک نفر به انتخاب مدیرعامل (عضو).

تبصره 2- هیات مزبور با حضور کلیه اعضا یا نمایندگان تام الاختیار معاونین مذکور به ریاست رئیس یا نائب رئیس هیات رسمیت پیدامی کند و تصمیمات آن با اکثریت آراء ملاک اعتبار خواهد بود.

تبصره 3- هیات دراولین جلسه خود با حضور کلیه اعضاء یک نفر ازبین کارکنان سازمان و دارای سابقه مدیریت رابه مدت 2سال بعنوان دبیر هیات تعیین می نماید. تجدید انتخاب دبیر بلامانع خواهد بود و درصورتیکه قبل ازاتمام دوره نیاز به تعویض دبیر باشد، دبیر جدید به همین نحو انتخاب می شود.

ماده‌ 6-

نحوه تشکیل جلسات، پذیرش درخواست متقاضیان و همچنین چگونگی انجام بررسیهای اولیه به موجب ضوابطی خواهد بود که توسط هیات فوق الذکر تدوین و به تصویب هیات مدیره سازمان می رسد.

ماده‌ 7-

دبیر هیات مکلف است درخواست متقاضیان را برابر ضوابط مصوب ظرف حداکثر یک ماه دردستور کارهیات قرارداده و آنها راحداقل یک هفته قبل ازتشکیل جلسه دراختیار اعضاء قراردهد.

ماده‌ 8-

هیات برحسب نیاز سازمان امور واگذاری واحدهای اجرایی در سطح کشور را با تعیین قلمرو جغرافیایی، تعداد نمایندگیهای مورد نیاز، در هر نوبت از سال در جراید کثیرالانتشار به اطلاع عمومی می‌رساند. به نحوی که متقاضیان قبل از تسلیم درخواست به سازمان از حدود مسئولیتهای خود در قبال سازمان مطلع شوند.

تبصره ـ عناوین و حدود هریک از امور قابل واگذاری به نمایندگیها با پیشنهاد هیات و تصویب هیات مدیره سازمان تعیین و جهت اجرا ابلاع خواهد شد.

ماده‌ 9ـ

هیات پس از بررسی درخواست متقاضیان و احراز صلاحیت و شرایط افراد مراتب پذیرش آنان رابعنوان نماینده آنان سازمان تامین اجتماعی طی جوازی که دارای شکل مشخص و یکنواختی خواهد بود حداکثر ظرف دوهفته به آنان اعلام می نماید.

فصل چهارم – نحوه‌ایجاد نمایندگیها و فعالیت آنها

ماده‌ 10ـ

اشخاص دارای جواز موضوع ماده 9 مکلفند ظرف مدت یک ماه نسبت به تنظیم و مبادله قرارداد ایجاد نمایندگی اقدام و حداکثر ظرف یک ماه پس از انعقاد قرارداد، نسبت به راه اندازی نمایندگی اقدام نمایند.

تبصره ـ هیات می تواند این مدت رابرای اشخاص حقوقی با توجه به قلمرو امور واگذاری تمدید نماید.

ماده‌ 11ـ

دارندگان جواز ایجاد نمایندگی درمدت تعیین شده می باید نسبت به تهیه مکان مناسب و سایر امکانات لازم از قبیل تامین پرسنل مورد نیاز، تجهیزات، اثاثیه و سخت افزار لازم و … اقدام نمایند و مراتب راقبل ازتنظیم قرارداد و راه اندازی نمایندگی به ادارات کل استان ذیربط تسلیم نمایند.

ماده‌ 12ـ

ادارت کل استان ذیربط موظفند پس از بررسی و تائید موضوع ماده 11 نسبت به تنظیم و مبادله قرارداد اجرای کار، طبق مقررات اقدام نمایند.

ماده‌ 13ـ

دارندگان جواز نمایندگی می بایست در قبال امور واگذاری و قبول مسئولیت، تضمین لازم را برابر ضوابط مربوطه که با پیشنهاد هیات به تصویب هیات مدیره می رسد ارائه نمایند.

ماده‌ 14-

نمایندگیها مکلفند مطابق مفاد قرارداد با رعایت کلیه مصالح و اهداف سازمان، جدیت لازم را برای حسن انجام کار بعمل آورند.

ماده‌ 15ـ

جواز ایجاد نمایندگی پس از تائید هیات موضوع ماده 5 توسط سازمان به نام شخص حقیقی یا اشخاص حقوقی پذیرفته شده صادر می گردد که غیر قابل انتقال به غیر می باشد.

ماده‌16ـ

جواز هر یک از نمایندگیها ابتدا برای یکسال و سپس برای مقاطع دو ساله با تائید هیات قابل تمدید است. ضمناً تمدید آن برای سالهای بعد نیز با مجوز هیات بلامانع خواهد بود.

ماده 17-

سازمان تامین اجتماعی در تامین اثاثیه، سخت افزار، محل کار، نیروی انسانی و بطور کلی تامین هزینه‌های دفتری و اداری نمایندگی‌های موضوع این آئین نامه مسئولیتی نداشته و هیچ تعهدی نخواهد داشت.

ماده 18-

نماینده، مسئول حسن اخلاق و رفتار کارکنان زیر مجموعه خود بوده و اشتغال افراد در نمایندگی هیچ گونه رابطه و مسئولیت استخدامی برای سازمان ایجاد نمی نماید.

تبصره1- در صورتیکه اجرای کار در چارچوب مقررات سازمان نیاز به بسته های نرم افزاری خاص داشته باشد سازمان تامین اجتماعی نسبت به تامین و تحویل آنها اقدام نموده و نمایندگیها مکلفند صرفاً در چارچوب آن فعالیت نمایند.

ماده 19-

نمایندگیها مکلفند منحصراً برابر فعالیتهای مندرج در جواز و مطابق مفاد قرارداد منعقده عمل نموده و از هر اقدام دیگری خارج از آن خودداری نمایند.

ماده 20-

حق الزحمه فعالیت نمایندگیها به ترتیبی که در قرارداد تعیین می شود حداکثر ظرف یک ماه از تاریخ ارائه صورت عملکرد و پس از کسر کسورات قانونی پرداخت خواهد شد. این هزینه ها جزء هزینه های اداری در حسابهای سازمان منظور خواهد شد.

تبصره ـ ضوابط مربوط به میزان و نحوه پرداخت حق الزحمه نمایندگیها با پیشنهاد هیات به تصویب هیات مدیره سازمان می رسد.

ماده 21-

در صورتیکه سازمان با توجه به قابلیت و توانمندی نمایندگی‌ها، برخی از وظایف و امور معین را در رابطه با امور کارشناسی و تحقیقاتی خود لازم بداند، این قبیل امور نیز در چارچوب این آئین نامه و بر مبنای توافقنامه‌های بعمل آمده طی قرارداد قابل واگذاری خواهد بود.

فصل پنجم – نظارت، کنترل، ‌رسیدگی به تخلفات و عملکرد نمایندگیها

ماده 22-

سازمان در صورت مشاهده خلل یا هر گونه نارسایی می بایست مراتب را بر حسب نوع تشخیص خود بصورت شفاهی یا کتبی به نمایندگی تذکر دهد و در صورت تکرار تذکرات و سلب اعتماد، سازمان می تواند راساً نسبت به فسخ قرارداد و مطالبه خسارات وارده طبق مقررات اقدام نماید.

ماده 23-

نگهداری سوابق اقدامات، قراردادها، راهنمائی ها و آمار توسط نمایندگی ها باید بر اساس اصول و ضوابط اداری بوده و همواره در دسترس و قابل ارائه به سازمان و بازرسان اعزامی آن باشد.

ماده 24-

نمایندگی ها موظفند اسرار مربوط به سازمان، کارفرمایان، بیمه شدگان و مستمری بگیران را محفوظ داشته و به هیچ وجه افشاء ننمایند و از هر گونه اقدام دیگری غیر از آنچه که در قرارداد مندرج است خودداری و از هر نوع اظهار خلاف واقع، یا گفتار و یاعملی که موجب اشتباه و اغفال بیمه شده، کارفرما، مستمری بگیر و سازمان گردد خودداری نمایند.

ماده 25-

سازمان عملکرد نمایندگی‌های مورد نظر در این آئین نامه را از طریق بازرسان و عوامل خود تحت رسیدگی و کنترل قرار داده و در صورت مشاهده تخلف از مفاد جواز و قرارداد منعقده و بطور کلی تخلف از مقررات سازمان، علاوه بر لغو قرارداد بطور یک طرفه نمایندگی متخلف را تحت پیگرد قانونی قرار خواهد داد.

ماده 26-

نمایندگان رسمی می توانند در صورت ضرورت به منظور پیگیری امور محوله در قرارداد به واحدهای اجرائی مربوطه سازمان مراجعه و واحدهای مزبور نیز در این زمینه موظف به همکاری با آنان خواهند بود.

شماره:104860/210


formats

آیین نامه اجرایی بیمه خدمات درمانی خویش فرمایان ۱۳۷۷/۴/۱۷

هیأت وزیران در جلسه مورخ 1377.4.17 بنا به پیشنهاد شماره 3249 مورخ 1377.3.12
وزارت بهداشت، درمان و آموزش پزشکی به استناد مواد (8)‌و (9)‌قانون بیمه همگانی خدمات درمانی – مصوبت 1373 – آیین‌نامه اجرایی بیمه خدمات درمانی خویش فرمایان را به شرح زیرتصویب نمود:
“‌آیین‌نامه اجرایی بیمه خدمات درمانی خویش فرمایان”
‌ماده 1- سازمان بیمه خدمات درمانی موظف است هر متقاضی را به صورت انفرادی بیمه نماید.
‌ماده 2- بیمه خدمات درمانی خویش فرمایان از طریق پزشک خانواده و نظام ارجاع به مؤسسات طرف قرارداد سازمان اجرا خواهد شد و فرد متقاضی در‌انتخاب پزشک خانواده از بین پزشکان و مؤسسات درمانی طرف قرارداد(‌معرفی شده از سوی سازمان بیمه هدمات درمانی) مخیر می‌باشد.
‌ماده 3- حق سرانه بیمه خدمات درمانی خویش فرمایان همه ساله متناسب با عملکرد، فرانشیز و تعرفه‌های واقعی به پیشنهاد مشترک سازمان برنامه و بودجه،‌وزارت بهداشت، درمان و آموزش پزشکی و سازمان بیمه خدمات درمانی تهیه و پس از تأیید شورای عالی بیمه خدمات درمانی به تصویب هیأت وزیران‌می‌رسد.
‌ماده 4- خویش فرمایانی که به صورت خانوادگی بیمه می‌شوند به ازای تعداد افراد بیمه شده تحت تکفل خود از تخفیف برخوردار میگردند واین تخفیف شامل‌سرپرست و کلیه افراد تحت تکفل نیز خواهد شد.
‌ماده 5- خویش فرمایانی که بیمه خدمات درمانی خود را برای سالهای بعد نیز ادامه دهند،‌متناسب با سنوات تداوم بیمه از تخفیف برخوردار می‌شوند و در‌صورت انقطاع بیمه به میزان زمانی که تداوم بیمه قطع شده است از سابقه سنواتی بیمه شونده کسر می‌گردد.
‌ماده 6- میزان تخفیف مورد فوق الذکر همه ساله با پیشنهاد مشترک سازمان برنامه و بودجه، وزارت بهداشت، درمان و آموزش پزشکی، سازمان بیمه خدمات‌درمانی و تأیید شورای عالی بیمه خدمات درمانی به تصویب هیأت وزیران می‌رسد.
‌ماده 7- حداقل سرانه بیمه خویش فرمایان پس از اعمال تخفیفهای مقرر در این دستورالعمل نباید از سرانه کارمندان دولت کمتر و حداکثر آن نباید از حق سرانه‌مصوب خویش فرمایان در سال مزبور بیشتر باشد.
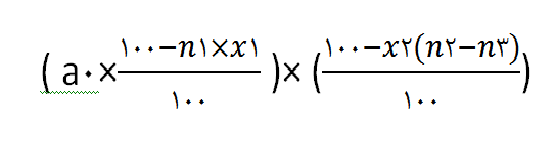
‌ماده 8- حق سرانه بیمه خویش فرمایان برای هر متقاضی به ترتیب زیر محاسبه می‌شود:حق سرانه برای هر متقاضی خویش فرما برابر است با:

Untitled

 

 

 

 

 

ao=‌حق سرانه مصوب شورای عالی بیمه برای خویش فرما در سال مورد نظر

n1=‌تعداد عائله تحت تکفل بیمه شده
n2=‌سنوات استمرار بیمه شده
n3=‌سنوات انقطاع بیمه
x1=‌درصد تخفیف به ازای هر فرد بیمه شده
x2=‌درصد تخفیف به ازای هر سال سابقه بیمه
‌ماده 9- ارقام فوق برای سال 1377 به شرح ذیل می باشد :
‌سرانه بیمه خدمات خویش فرمایان با فرانشیز 25% خدمات سرپایی و بستری 20000 a
‌سرانه بیمه خدمات درمانی خویش فرمایان با فرانشیز 25% خدمات بستری 13250
x 1=%5
x 2=%10
‌حسن حبیبی
‌معاون اول رییس جمهور

شماره: 64420/14253/4/30


خانه Archive for category "قوانین و مقررات تامین اجتماعی"